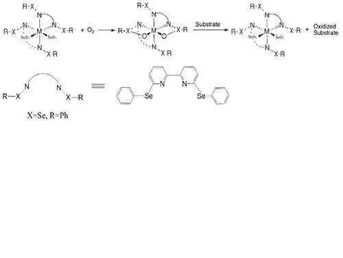
The activation of small molecules such as O2presents an important, difficult, scientific challenge in the area of “green chemistry” that will have far-reaching consequences. Thus, activation of O2in a dioxygenase mode, that is activation of both atoms of O2through formation of two metal oxo intermediates can lead to oxygen transfer reaction to organic substrates without need of any sacrificial reducing agent. To meet these goals, this research deals with the formation of new multi-centered transition metal compounds that have two functional reactive centers.
A ruthenium(II) bipyridine complex with proximal phenylselenium tethers,[Ru](H2O)2, reacted
intramolecularly with O2in a protic slightly acidic solvent, 1,1,1,3,3,3-hexafluoro-2-propanol (HFIP), to yield an O-O bond cleaved product,[Ru](O)2, with formation of two Ru-O-Se moieties. This stable compound was isolated, and its structure was determined by X-ray diffraction. The identification of the compound in solution was confirmed by ESI-MS and the1H NMR with the associated Curie plot that showed that [Ru](O)2 was paramagnetic. The magnetic susceptibility was 2.8μB by Evan’s method suggesting a ground state triplet or biradical. Further it was shown that[Ru](O)2 is a potent oxygen transfer species of both O2-derived atoms to triphenylphosphine and a nucleophilic alkene such as 2,3-dimethyl-2-butene in both HFIP and acetonitrile. UV-vis spectroscopy combined with the measured stoichiometry of PPh3:O2=~2 in a catalytic oxidation of PPh3 suggests a dioxygenase type activation of O2with structural identification of the O-O bond cleavage reaction step, formation of[Ru](O)2as an intermediate, and the proof that[Ru](O)2is a donor of both oxygen atoms.

Reference:“Activation of Molecular Oxygen by a Dioxygenase Pathway by a Ruthenium Bis-bipyridine Compound with a Proximal Selenium Site” Alexander Laskavy, Linda J. W. Shimon, Leonid Konstantinovski, Mark A. Iron, and Ronny Neumann,J. Am. Chem. Soc.2010,132, 517-523