Detection of Apoptosis with 99m Tc-rh Annexin V-128 Imaging in Patients with Early Stage Breast Cancer Receiving Doxorubicin-Based Chemotherapy

Samia Massalha 1 Atif Alzahrani 1 Aws Almufleh 1 Olexiy Aseyev 2 Brian F. Marvin 1 Clare Carey 1 Rebecca Thornhill 2 Kathryn Ascah 1 R. Glenn Wells 1 Girish Dwivedi 1 Laura Ravasi 2 John Hilton 2 Susan Dent 2 Terrence D. Ruddy 1
1Heart Institute, University of Ottawa
2Novartis, Advanced Accelerator Applications International

Background: Apoptosis plays an important role in Anthracyclineinduced cardiotoxicity. Apoptosis has been detected with 99m Tc-rh Annexin V-128 imaging in rats prior to a decrease in left ventricular ejection fraction (LVEF) measured with echocardiography

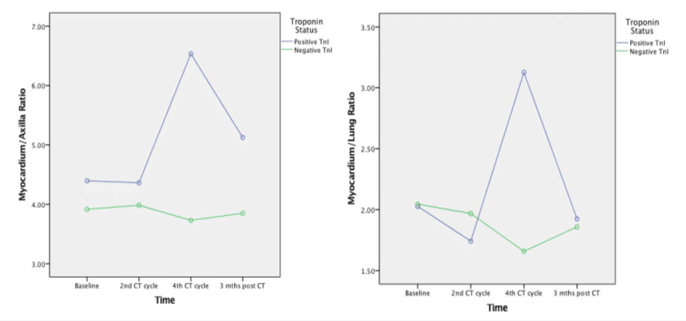
Methods: Patients with early stage breast cancer (n=9) undergoing doxorubicin chemotherapywere included. Annexin imaging, cardiac magnetic resonance imaging (CMRI) and bloodwork for troponin (TI), hematology, biochemistry, and urinalysis at baseline, after the 2nd, 4th cycle and 12 weeks post last treatment. Planar and SPECT imaging were performed (GE Hawkeye SPECT CT) at 1 and 2 hours following IV injection of 350 MBq of 99m Tc-rh Annexin V-128. Planar images were quantitatively assessed by placing ROI`s on the myocardium, right axilla and lung. Independent sample t-testing was used to compare baseline myocardial uptake, ratios of myocardium/axilla and myocardium/lung uptake at one and two hours between patients with + TI levels and those - levels. Two-way repeated measures ANOVA was used with TI (+/-) as the between-subjects independent variable and time as the within-subjects independent variable. Our hypothesis of interest was the two way TI x time interaction.

Results: Troponin rises were seen in 2/9 patients. No significant changes in LVEF or global longitudinal strain by CMRI. At baseline, there were no significant differences in radiotracer uptake between patients with + vs - TI levels as measured with myocardial uptake or myocardium/axilla and myocardium/lung uptake. Significant interaction between TI and myocardial uptake, myocardium/axilla and myocardium/lung uptake at 1 hour (p=0.086 (trend), 0.008 and 0.054, respectively. Similar trends were observed at 2 hours but were not significant.

Conclusions: Apoptosis imaging with 99mTc-rhAnnexin-V 128 in patients undergoing doxorubicin based chemotherapy with early stage breast cancer is safe and feasible. Increased myocardial Annexin uptake measured with planar imaging was related to abnormal TI elevations. No significant changes in cardiac LVEF and global longitudinal strain. This may be promising for early detection of chemotherapy induced cariotoxicity.

Samia Massalha
Samia Massalha








Powered by Eventact EMS