
Many applications of ferroceramic materials imply rapid temperature changes. For example, the use of ferroceramics in electrocaloric converters and pyroelectric receivers. The values of pyroelectric coefficients (PC) p determine the appropriateness of using the material for pyroelectric or electrocaloric applications. PC determines the value of electrocaloric temperature change [1].
For the real use of ferroelectrics in electrocaloric converters, the frequency of temperature change should be ~ (10–100) Hz. At the maximum value of the electrocaloric effect ΔT=0.3–0.4 K (for barium-strontium titanates), the temperature change rate can reach 100 K/s. Therefore, to measure PC, a technique was proposed that allows for a rapid change in temperature using pulsed laser radiation with a power of 0.5–1 W [2]. PC values were calculated from experimental measurements of pyroelectric voltage responses.
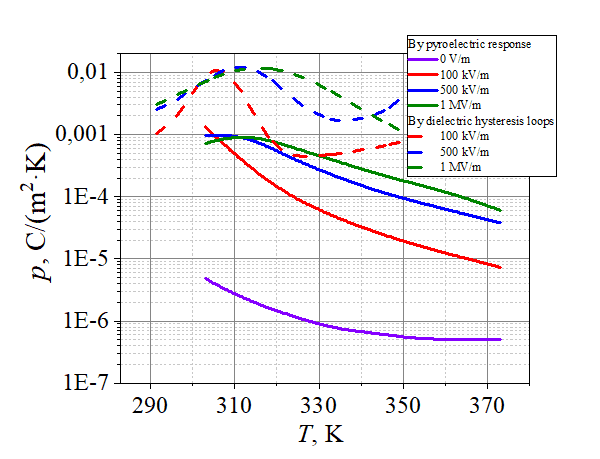
The paper presents results of measurement of PC for bulk ceramic samples of barium titanate and solid solutions of barium-strontium titanates (Ba0.7Sr0.3TiO3) depending on temperature and electric field strength.

The difference between results obtained using the proposed method and those obtained from measurements of the dielectric hysteresis loops is due to the dependence of the PC on the rate of change in the temperature of the ceramic samples. Thus, it is shown that PC values can differ significantly due to the use of different measurement techniques.
The proposed method, which uses fast processes of temperature change, makes it possible to measure the PC both under the influence of an external electric field and in its absence.
1. Strukov B A 1998 Soros Educational Journal. 5 96–101
2. Burovikhin A P et al 2021 J. Phys.: Conf. Ser. 2103 012085